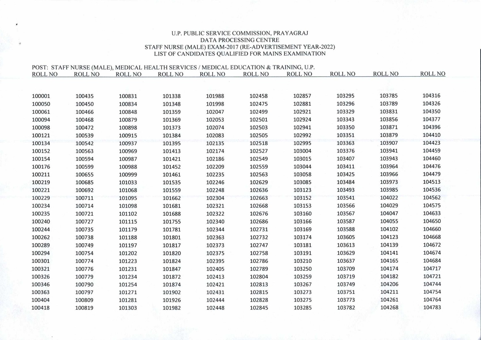
UPPSC Staff Nurse Result

0

 UPPSC Staff Nurse Result 









Tags

Post a Comment

0 Comments
Post a Comment (0)
Pixy Newspaper 11

#buttons=(Accept !) #days=(20)

Our website uses cookies to enhance your experience. Learn More
Accept !
To Top